Matematik temellerinde kurulmuş her şey bir düzene göre mi ilerler? Newton’un bize sunduğu deterministik dünyada sonuçlar sadece nedenlerin hesabından mı ibarettir? Peki, size matematiğin bu sağlam temellerle kurulmasına rağmen kaosun hâkim olduğu, işlemlerin ve sonuçların anlamını yitirdiği, nedenlerin safsatadan ibaret olduğu bir dünya olduğunu söylesem… Bu yazımızda sizlere kaos teorisi (veya kelebek etkisi) olarak bilinen başlangıç koşullarına aşırı duyarlı sistemlerden bahsedeceğiz. Kaos dünyasındaki pek çok detayı öğrenip bu dünyadaki düzeni açığa çıkaracağız.
Düzen İçinde Bir Evren: Determinizm
İçinde yaşadığımız evren birtakım kurallar çerçevesinde hareket eder. Birçok bilim insanı, bu kuralları belirlemeye ve bütün evreni tek bir kural ile açıklamaya çalışmıştır. Bu yolda atılan en önemli adımlardan biri, Newton’un yasalarıdır.
Newton’un evreni deterministtir. Bu doğrultuda herhangi bir cismin başlangıç durumu ve bağlı olduğu kurallar bilinirse cismin geleceği tam olarak tahmin edilebilir. Bir topu havaya attığımızda gerekli hesaplamalarla nereye düşeceğini bulabiliriz ya da hızlanan bir arabanın içindeysek geriye düşeceğimizi bildiğimiz için tutunuruz. Yani her neden bir sonuca varır ve neden bilindiği sürece sonucu bulmak sadece hesaplamaktan ibarettir. Peki bu zinciri en başa alırsak ne olur? Her şeyin başladığı noktayı ve bağlı bütün kuralları bilseydik tüm geleceği tahmin edebilir miydik? Fransız matematikçi Pierre-Simon Laplace sorduğu bu soruyu şöyle cevaplar:
“Evrenimizin anlık görüntüsünü geçmişin sonucu ve geleceğin nedeni olarak ele alabiliriz. Bir akıl düşünün, belirli bir anda doğayı akış içinde tutan tüm kuvvetleri ve doğanın türettiği tüm cisimlerin konumunu bilen bir akıl. Eğer ki bu akıl, verileri analiz edebilecek güce sahipse en küçük atomlardan devasa galaksilerin hareketine kadar her şeyi tek bir formüle indirgeyebilir. Böyle bir akıl için hiçbir bilgi belirsiz değildir ve gelecek aynı geçmiş gibi bir anda gözler önüne serilir.”
Daha sonraları bilim camiası tarafından “Laplace’ın Şeytanı” olarak anılan bu akıl determinizmin bir sonucudur. Her şey bir nedenden dolayı ise ilk neden bilindiği takdirde olası bütün sonuçlar apaçık olur. Ne var ki bu durum hızlıca insanın tahayyülünü aşar. Son yüzyılda bilimdeki gelişmeler sayesinde doğadaki birçok kuvveti anlasak da bildiklerimiz, bilmediğimiz daha büyük bir dünyaya ışık tutar. Ayrıca hesaplamalarımız kusursuz değildir. En iyi bilgisayarlar bile çok küçük de olsa hatalı hesaplamalar yapar. Bu nedenlerden dolayı her şeyi hesaplayabilen tek formülü bulmak şimdilik imkânsız gözüküyor.
Kaos Nedir?
Kaos, determinist sistemlerin tahmin edilemez hâle geldiği, düzen içindeki evrenin rastgeleliğe boyun eğdiği yerdir. Aynı zamanda, hesaplayamadığımız sistemleri anlayabileceğimizi gösteren bir çalışma alanıdır. Peki bilinmezliğin nedeni nedir? Bilinmezlik, önceki başlıkta bahsettiğimiz hatalı hesaplamaların başlangıç konumuna hassas bağlı sistemlere etkisinden kaynaklanır. Bu sistemlerden ilkini karşımıza Newton sunar. Newton uzaydaki üç kütlenin kütle çekim yasasına göre hareketini inceler ve bu hareketin genel formülünü bulmak üzere çalışmalar yapar. Newton, özellikle Güneş, Dünya ve Ay’ın birbirine göre hareketinin incelemiş fakat bir genel formül bulamamıştır. Newton’dan yaklaşık iki asır sonra Fransız matematikçi Henri Poincare sistemin genel formülünün bulmanın zorluğunu başlangıç konumuna hassas bağlılığından dolayı olduğunu açıklar.
Benzer bir olay ile ABD doğumlu matematikçi ve meteorolog Edward Lorenz de karşılaşır. Hava durumu hesaplamaları için oluşturduğu bir algoritmada, değişkenleri binde bir basamağına göre yuvarlayarak girer. Sonuçlar ise bu binde birlik değişime kıyasla birbirinden çok uzak gelir. İlk değerler güneşli bir havaya işaret ederken sonraki değerler fırtınalı bir hava gösterir. Bunun üzerine daha detaylı inceleme için Lorenz, hava durumunu modelleyen 12 denklemin basit bir hâli üzerinde çalışır. (Lorenz, 1993)

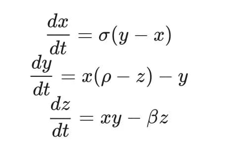
Üç diferansiyel denklemden oluşan bu model, bir kutu içerisinde bulunan havanın sıcaklığa göre değişimini inceler. Denklemdeki değişkenler kutu içerisindeki sıcaklık, nem gibi değerlerin değişimini gösterir. Sabit değerler ise kutunun en/boy oranı gibi değerlerdir. Değişkenleri üç boyutlu bir faz uzayında çizecek olursak yani ardışık zamanlar için x, y ve z’nin gösterdiği noktaları birleştirip denklem sisteminin tüm olası durumlarını gösteren bir yörünge oluşturursak alacağımız sabitlere göre farklı şekiller elde ederiz.

Bu farklı şekiller bazen bir noktada toplanırken bazen periyodik döngüler oluşturur. Bazen ise pi sayısı gibi asla tekrar etmeden devam eder ki bu duruma kaos diyeceğiz. Bu değerlerde başlangıç konumunda yapılan çok ufak bir değişiklik kısa zamanda yörüngeleri birbirinden çok uzak noktalara iter ve bu durum uzun dönemli tahminleri tamamen geçersiz kılar.

Lorenz’in buluşunun ardından kaos teorisi bilim camiasında epey popüler olmuştur. Bazı kaynaklarda faz uzayında oluşan şeklin kelebeğe benzemesi ve Lorenz’in kaosu açıklamak için kullandığı “Dünyanın bir ucunda kanat çırpan bir kelebeğin meltemi başka bir yerde fırtınaya neden olabilir.” benzetmesi nedeniyle kelebek etkisi olarak da geçmektedir. Kaosun derinliklerine inmeden evvel; kaos ne değildir, yararları neler ve pratikte kaosu ne kadar gözlemleyebiliyoruz sorularına bir bakış atalım.
Öncelikle kaos, ismi bakımından gelişigüzelliğe işaret etse de tamamen bir rastgelelik durumu değildir. Altında yatan kurallar ve açıklanmayı bekleyen yanlar vardır. Tamamen determinist sistemlerde oluşur bundan dolayı rastgelelikle zıtlığa düşer. Elde ettiğimiz veriler ise tamamıyla rastgele gibi gözükür. Üstelik kaotik sistemler, rastgeleliğe yönelik yapılan çoğu istatistiksel testten geçer. Rastgele verilerde bir adım sonrası bile tahmin edilemez. Buna benzer olarak kaotik sistemlerde birkaç adım sonrasını tahmin etmek imkânsızdır. Bu açıdan kaosu rastgelelikten ayırmak zordur. Bu yüzden dünya üzerinde gözlemlediğimiz verilerde de kaosu görmek güçtür. Öyle ki bazı bilim insanları kaosun gerçek dünyada var olmadığını söylemektedir. Buna karşın kaosun her yerde olduğunu söyleyenler de vardır. Söylemlerine destek olarak: Kaosun doğal ortamda olmasa da insan dokunuşuyla ortaya çıkabileceğini gösterirler ki ilerde de göreceğimiz gibi bulduğumuz çoğu kaotik sistem insan üretimi formüllerden gelir. Doğrusal olmayan etkileşimleri gösterirler. Matematiğin temelini oluşturan bu etkileşimler kaosunda özünü oluşturur. Ve doğadaki gözlemlediğimiz olayların nerdeyse hepsi doğrusal olmayan etkileşimlerden oluşur. Evrende bulunan kirden (hesaplamalarda oluşan hatadan) dolayı kaosun gözlemlenmesinin zorluğunu gösterirler. Doğal gözlemlerle elde ettiğimiz veriler birçok faktöre bağlıdır bundan dolayı kaos kolaylıkla rastgelelikle karıştırılabilir. Yani doğada kaos bulunur fakat üstü bir perdeyle örtülüdür derler.
Kaosu tespit etmek amacıyla birçok sistem geliştirilmiştir. Kaosun tespitinin ise bize iki temel faydası vardır: Karmaşık görünen sistemlerin basit nedenlerden oluşabildiğini gösterir ve bulunduğu sistemlerde kaos, uzun süreli tahminleri değersiz kılar ki bunu önceden bilmek bize çok vakit kazandırır.
Bazı Kaotik Sistemler
Evimizin köşesindeki bir akvaryumu düşünelim. Bakımını aksatmadan yaptığımız ve balıkları düzenli aralıklarla beslediğimiz bu akvaryumda sonraki 10 yıl içinde kaç balığımız olacağını nasıl bulabiliriz? Bunun için bir ayrık denklem kurabiliriz. Ayrık denklemler iterasyon yoluyla çözülen denklemlerdir. En ünlülerinden biri de fibonacci dizisidir: t bir pozitif tam sayı olmak üzere, x_t + x_{t+1} = x_{t+2} olarak gösterilir. Bu denklemde x0 ve x1’i bilirsek ardışık olarak artan t değerleri için denklemi çözerek dizinin devamını bulabiliriz. Buna da iterasyon çözümü diyeceğiz. Bizim istediğimiz ayrık denklemi oluşturmak için ise öncelikle balık sayısını etkileyen faktörleri bulmamız gerekir.
Balık sayısı verdiğimiz yem miktarı, akvaryumun temizliği gibi faktörlere bağlıdır. Bu dış faktörlerin hepsini bir k sabitinde birleştirelim.
x_{t+1} = kx_t
Denklemdeki her xt (0, 1) arasında değer alır, “1” değeri popülasyonun maksimumunda olduğunu “0” değeri ise popülasyonun yok olduğunu belirtir, aradaki değerler ise popülasyonun maksimuma göre oranını verir. Örneğin 0,54 değeri popülasyonun kapasitesinin %54’ü kadar nüfusa sahip olduğunu belirtir. Popülasyon büyüklüğü aynı zamanda balık sayısına da bağlıdır. Balıklar çoğaldıkça aralarında rekabet artar ve yaşam koşulları kötüye gider. Dolayısıyla popülasyon küçülme eğilimi gösterir. Bunun için denkleme (1 - x_t) çarpanını ekleyeceğiz. Eğer xt değeri 0,8 gibi yüksek bir değer ise (1 - x_t) değeri 0,2 gibi bir değer alacağı için balık sayısını azaltır. Bunun aksine xt sıfıra yakın bir değer alırsa (1 - x_t) bire yakın olacağından denklemde büyük bir etki yaratmaz ve popülasyon kxt kadarlık bir büyüme gösterir. Son olarak elde ettiğimiz denklem:
x_{t+1} = kx_t(1-x_t)
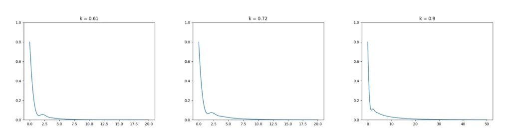
Kaosa açılan kapıda sabit sayılar anahtar niteliğindedir. Elde ettiğimiz ayrık denklemi k sabitinin farklı değerleri için inceleyelim: k = 0,52 ve x0 = 0,5 için denklemi iterasyon yöntemi ile çözüp bulduğumuz değerleri bir koordinat düzlemine taşıyalım. Bu koordinat düzleminde x ekseni t değerlerini yani ilk ölçümden kaç yıl geçtiğini gösterir, y ekseni ise bu yıldaki balık sayısını yani xt değerini gösterir. Bu grafik 0,5 değerinden başlayarak sıfıra doğru yaklaşır. Bu da zor yaşam koşullarından dolayı balık popülasyonumuz öleceğini gösterir. Grafikte burada gördüğümüz gibi giderek bir değere yaklaşan veya periyodik olarak ziyaret edilen noktalara çekici denir ve x* şeklinde gösterilir. Verilen değerler için x* değeri sıfırdır yani popülasyonun soyu tükenir. x0’ın farklı değerleri için x* değeri değişmez.

k \leq 1 ve keyfî bir x0 için tüm k değerlerinde x*= 0 gelir.

k = 2 ve keyfî bir x0 alırsak x*= 0,5 gelir yani popülasyon bir sabit noktaya yaklaşır. Sabit nokta iterasyonda kendini veren noktaya denir. Dikkat etmek gerekir ki xt değeri asla 0,5 olmaz ama giderek yaklaşır.
1 < k < 3 için k arttıkça x* değeri sıfırdan yaklaşık olarak 0,667 değerine doğru artar. Bu da ortam koşullarına bağlı olarak popülasyonun bir optimum değere yaklaştığını gösterir.

k = 3 ve keyfî bir x0 için xt değeri iki nokta arasında periyodik olarak dolanmaya başlar yani iki adet x* değeri oluşur akvaryum için düşünecek olursak balık popülasyonun büyüklüğü ardışık yıllarda iki değer arası dolanır. k arttıkça x* sayısı ikinin kuvvetleri biçiminde artar. k = 3,5 için 4, k = 3,5441 için 8 ve k = 3,5644 için 16 farklı x* değeri oluşur. Bu durumda farklı x* sayılarına çekicinin periyodu denir. k değerlerindeki artıştan dolayı periyottaki değişikliğe de “periyot katlanması” veya “flip çatallanması” denir.

Görüldüğü üzere periyodun katlanması giderek daha kısa aralıklarda olmaya başlar ve k yaklaşık olarak 3,57 değerine geldiğinde periyodun değeri sonsuza gider yani tekrar etmez. Böylece kaosun dünyasına ilk adımı atmış oluruz. Buradan itibaren kaosun kuralları geçerlidir. Sistemin kaotik olduğu bir k sabitinde başlangıç konumuna -x0 değerine- yapılan çok küçük değişim uzun zamanlı ölçümlerde büyük bir farka yol açar. Ayrıca sonsuz hassaslıkta bir ölçüm yapmak imkânsızdır, sonsuz hassaslıkta ölçebilsek bile işlem yapabilmek adına makul bir değere yuvarlamamız gerekir. Bu nedenlerden dolayı kaotik bir sistemde uzun zamanlı ölçümler hatalı sonuçlar verir. Yani kaosun hüküm sürdüğü değerlerde sayılar anlamını yitirir.

Varsayımsal akvaryumumuz bize bazı önemli hususları açıklar: Sistemler bazı sabit değerleri için kaotik değilken bazıları için kaotik olabilir. Akvaryum denkleminde k sabiti arttıkça sistemin sırasıyla; durgun (sabit bir noktaya yaklaşan), periyodik ve kaotik davranış gösterdiğini görebiliriz. Kaos rastgele verilerden değil tasarlanmış sistemlerden oluşur ve basit bir denklem bile bizi kaosa götürebilir. Akvaryum denklemi deterministiktir ve tek değişkenden oluşan basit bir ayrık denklemdir. Bir sonraki adım denklem yoluyla tam olarak bulunabilir yani herhangi bir rastgelelik söz konusu değildir.
Çekiciler
Aristoteles’e göre her şey doğasına göre davranmak ister, doğasından çıkarıldığında eski durumuna geri dönmek için elinden geleni yapar. Ay, Dünya’nın etrafında döner çünkü doğasında bu vardır, masanızda duran bardak durmaya devam eder çünkü doğası böyledir. Bardağa bir kuvvet uygularsanız bir süre yuvarlandıktan sonra yeniden durur. Denklem sistemlerinde, bu ilkeye uygun davranış gösteren değerlere “çekiciler” denir. Çekiciler sistemin kimliğini belirtir. Sistemin faz uzayında zamanla yaklaştığı ve kararlı hâle geldiği 2 veya 3 boyutlu bir şekil ya da nokta olabilir. Bir nokta çekici üzerinde değilse zamanla çekici üzerine gelir, üzerinde ise bu hâlini korur. Çekiciler sistemin başlangıç değerlerinden bağımsızdır yani farklı başlangıç değerlerinde sistemin yaklaştığı çekici aynı kalır.
Çekiciler iki kısma ayrılır: Kaotik olan ve kaotik olmayan çekiciler. Kaotik olmayan çekiciler bir nokta veya döngüde kararlı hâle gelir bu sayede uzun dönemli tahminler yapılabilir. Bunun aksine kaotik çekiciler başlangıç konumuna hassas bağlıdır ve asla tekrar etmeden sonsuza dek ilerler. Bu yüzden uzun dönemli tahminler yapmak imkânsızdır.
Kaotik çekicilere geçmeden önce kaosa giden yolu aydınlatalım.
Kaosa Giden Yol
Varsayımsal akvaryumumuzda gördüğümüz üzere kaos yolunda ilk karşılaştığımız olay periyot katlanmasıydı. Bu olayı daha iyi incelemek için yeni bir grafik oluşturalım. Bu grafikte x ekseni akvaryum denklemindeki farklı k değerlerini, y ekseni ise denklemde k değerine karşılık gelen x*değerlerini göstersin. Böylece çatallanmayı daha rahat görebiliriz:

Amerika doğumlu Mitchell Feiganbaum’un bu grafik üzerine yaptığı çalışmalarda akvaryum denklemi de dâhil periyot katlanması içeren bütün sistemlerde geçerli iki sabit bulmuştur. Bunlardan ilki çatallanmaların başladığı noktalardaki k değerlerinin arasındaki farkın oranıdır. ki, i. çatallanma noktasındaki k değeri ve \Delta k_i = k_{i+1} - k_{i-1} olmak üzere:
\lim_{i \rightarrow \infty} \frac{\Delta k_i}{\Delta k_{i+1}} = 4.6692...
İkinci sabit ardışık çatalların dalları arası uzaklığın oranından oluşur fakat bir çatalın dalları arası uzaklık k değerine bağlı değişir ve periyodun ikiden fazla olduğu durumlarda birden fazla uzaklık değeri bulunur. Bunun için bir referans x* değeri belirlememiz gerekir. Akvaryum denklemi için bu değer 0.5’tir ve denklemin kritik değeri yani türevinin sıfır olduğu değerdir. Buna göre \Delta x* , x* = 0.5 doğrusunun kestiği çatal ve kesişme noktasındaki k değeri için iki x* arasındaki farka karşılık gelir. Ardışık x* arası oran da sabit bir değere yaklaşır.
\lim_{i \rightarrow \infty} \frac{\Delta x_n}{\Delta x_{n+1}} = 2.5029...
Kaosa giderken karşımıza çıkan diğer durumlar ise aralıklılık ve yalancı periyodik harekettir. Aralıklılık, periyodik hareketin bozularak kısa bir aralıkta kaosu oluşturması ve bu aralıkların giderek artmasıyla sistemin kaotik hâle gelmesidir. Yalancı periyodik ise birden fazla periyodun paydada buluşamadığı için tam olarak periyodik olmasa da bir periyoda yakın hareket göstermesidir. Genelde sistemler sabit değerlerinin değişimi ile sırasıyla durgun, periyodik, yalancı periyodik ve kaotik davranış gösterirler.
Kaosun İmzası: Tuhaf Kaotik Çekiciler
Kaos denklemlerinin faz uzayında asimptotik yaklaştığı şekillere kaotik çekiciler denir. Faz uzayını hatırlayacak olursak: Faz uzayı bir sistemin bir zaman aralığı için oluşabilecek tüm durumlarını üç boyutlu bir uzayda gösteren grafiktir. Asimptotik yaklaşmak ise değişkenlerin artan zamana göre bir sayı değerine veya faz uzayında bir şekle yaklaşmasıdır. Dikkat etmek gerekir ki bu değere asla ulaşmaz ama giderek yaklaşır. Kaotik çekiciler de tam bir kapalı şekil oluşturmaz fakat uzayda bir şekle yaklaşır. Kaotik çekicileri diğerlerinden ayıran bazı özellikler şunlardır: Belirli zaman aralığında bir duruma ancak bir kez uğrar yani faz uzayındaki yörüngeleri asla kesişmez. Yakın değerler zamanla birbirinden uzaklaşır ve buna “gerilme” denir. Sistem belli bir aralıkta sınırlıdır buna ise “katlanma” denir. Bunu akvaryum denkleminde düşünecek olursak x değerleri bire yaklaştıkça azalmaya, sıfıra yaklaştıkça artmaya başlar yani x değeri her zaman (0, 1) aralığında sınırlıdır.
Kaotik çekicilerin kaotik olmayan çekicilerle ortak yönleri ise şunlardır: Asimptotik olmaları yani bir sayıya veya döngüye yaklaşmaları ve sabit bir olasılık dağılım grafiklerinin olması. Olasılık dağılım grafiği, denklem sisteminin belli aralıkları için bir aralıktan geçme sıklığının diğer aralıklardan geçme sıklığına oranını gösteren sütun grafiğine denir. Örneğin akvaryumdaki balık sayısı 200 ölçüm boyunca 12 kere %20-30 değer aralığında ölçüldüyse bu aralığın grafikte %6’lık bir değeri olur. Bu işlemin her aralık için yapılıp bir sütun grafiği oluşturulmasıyla ise olasılık dağılım grafiği oluşur. Kaotik olmayan çekicilerin olasılık dağılım grafiğinde periyot sayısına bağlı dikenler oluşur. Kaotik çekicilerin olasılık dağılım grafiğinde ise farklı başlangıç değerleri için sabit bir grafik oluşur. Buradaki ilginç durum kaotik çekicilerin başlangıç durumuna hassas bağlı olmasından dolayı sistemin yörüngesi tamamen değişse de sistemin faz uzayında bazı aralıklara daha fazla, bazı aralıklara ise daha az uğramasıdır.

Kaotik çekicilerin diğer çekicilerden ayıran bir özelliği de genellikle fraktal yapıda olmalarıdır. Fraktallar, yakınlaştırma miktarından bağımsız olarak aynı şekle sahip olan yani kendine benzeme özelliği gösteren şekillerdir. Örneğin, şekil 6 fraktal yapıdadır. k = 3.57 değerine yaklaştıkça grafik aynı çatallanma şeklini korur.

Başka bir örnek ise “Sierpinski Contası”dır. Sierpinski Contası veya Üçgeni bir eşkenar üçgenin tekrarlı olarak daha küçük eşkenar üçgenlere bölünmesi ile oluşur.

Sierpinski Üçgenini elde etmenin bir yolu da Kaos Oyunu olarak bilinen bir işlemdir. Oyuna başlamadan önce eşkenar üçgenin içinden keyfî bir nokta seçilir. Ardından rastgele bir köşe seçilir ve seçilen köşe ile noktanın orta noktası belirlenir. Son olarak da orta nokta üzerinden işlem tekrarlanır.
Bu işlem kaosa birçok açıdan benzer özelliklere sahiptir. Deterministik özellik gösterir çünkü yapılacak işlemler belirlidir. Seçilen nokta ve köşeler için sonraki nokta işlemler yoluyla bulunabilir. Başlangıç konumuna duyarlılık gösterir çünkü başlangıçta seçilen noktada yapılacak küçük bir değişim noktaların belirdiği konumları birbirinden giderek uzağa iter. Bir çekiciye sahiptir, başlangıç konumundan bağımsız olarak işlemin yeterince tekrarlanmasıyla her zaman Sierpinski Üçgeni oluşur.
Kaostaki Düzen
Uzun süreli tahminlerin imkânsız olduğu, her şeyin düzensiz ve rastgele gözüktüğü kaotik sistemlerde en küçük değişim bile her şeyi değiştirirken bir düzen olduğunu söylemek inandırıcı gelmeyebilir. Fakat ancak ve ancak determinist bir sistem içinde var olan kaosun derinliklerine indiğimizde içerisinde bir düzen barındırdığını gözlemleriz.
Kaotik bir sistemde sabit değerin artışı ile kaosa ulaşmıştık. Yine sabit değerin artışına bağlı olarak kaos bazı değer aralıklarında periyodik hâle geçer. Bu aralıklara pencere denir ve bir kaotik sistemde sonsuz adet pencere bulunur. Kaostan düzene geçerken sistem aralıklanmayı tersten yaşar. Artışa bağlı olarak periyodik kısım giderek büyür ve sistem periyodik hâle geçer. Pencereden çıkıp yeniden kaosa giderken ise sistem sırasıyla periyodik, yalancı periyodik ve kaotik olur. Örnek olarak akvaryum denkleminin çatallanma grafiğine bakabiliriz. Grafiğin kaotik kısmına bakarsak bazı beyaz aralıklar görürüz. Bu aralıklarda sistem bir anlığına periyodik hâle geçer, k sabitinin yaklaşık olarak 3.8284 değerinde sistem üç periyoda sahiptir ve değer arttıkça periyot sayısı 6, 12, 24… şeklinde ikiye katlanarak artar ve bir noktada kaos yeniden başlar.
Kaosun dışarıdan bir etki olmadan düzene geçmesine öz-organizasyon denir. Bu özellik ayrıca doğada da kendisini gösterir. Kuşların göç ederken V şeklini almaları buna bir örnektir
Kaotik sistemlerin sahip olduğu kaotik çekiciler ve sabit olasılık dağılım grafiği de bize kaosun içinde bulunan düzeni gösterir.
Matematik doğayı daha iyi anlamak için bir araçtır. Basit denklemler doğa olaylarını daha iyi anlayabilmemizi sağlar. Yazımızda bir akvaryumdaki balık miktarını ölçmek için kullandığımız denklem literatürde lojistik denklemi olarak geçer ve bir popülasyonun zamana bağlı büyüklüğünü bulmak için kullanılır. Lorenz denklemleri de hava olaylarını bulmaya yarayan denklemlerden ortaya çıkmıştır. Doğa olaylarına dayanarak oluşturduğumuz bu sistemlerde kaosu tespit etmek doğanın kendisine nispeten daha kolaydır. Bir deneyin verilerinde kaosu tespit etmek birçok test gerektirir fakat bu tespitin birçok yararı bulunur. Şimdi kaosun uygulama alanlarına bir göz atalım.
Kaosun Uygulamaları
Kaos Teorisi, ekonomi ve matematiğin bir araya geldiği noktalardan birisidir. Para kazanmak isteyenlerin gözdesi olan borsa, uzun dönemli tahminlerin anlamsız olduğu bir kaotik sistemdir. Birçok farklı değişkenin etkisinde geliştiği için borsada tahmin yapmak bilgi ve tecrübe gerektiren zor bir iştir hatta günümüzde bir meslek alanıdır. Bu tahminleri yaparken kullanılan araçlardan biri de kaos teorisidir.
Kaosun uygulamaları tıpta da karşımıza çıkmaktadır. Fizyoloji, biyoloji, nöroloji gibi birçok alanda yapılan deneylerden elde edilen veriler bizi kaotik sistemlere götürür. Vücudumuzu çevreleyen birçok sistem de bazı durumlarda kaotik davranış gösterir. Kaos teorisi ise bu sistemleri daha iyi anlayabilmemizi sağlar.
Robotik alanında yapılan bazı araştırmalar ise kaos teorisinin; makine öğrenmesi, yapay zekâ gibi teknolojileriyle beraber akılla otonom robotlara ulaşılabileceğini gösteriyor. (Biswas, 2018)
Canlı sürülerinin hareketlerini ve davranışlarını incelerken de kaos karşımıza çıkar. Sürü teorisi olarak da geçen bu alan birbirleriyle iletişim halinde olan robot sistemlerinin geliştirilmesinde rol oynar. (Kamimoto, 2023)
Kaos Teorisi tahmin ve ölçüm yapamadığımız alanları daha iyi anlayabilmemizi sağlamıştır. Birçok alanda kaotik sistemleri tespit etmek ve sistemin faz uzayındaki çekicisini bularak hangi sınırlar içinde değer aldığını bulmak büyük önem taşır. Yukarıda bahsettiğimiz alanlar dışında astronomide gezegenlerin hareketleri veya kimyada gaz taneciklerinin hareketleri kaos teorisi ile daha net açıklanabilmektedir. Trafik sıkışıklığının yaşanacağı yerlerin tespiti, hava durumu tahmini gibi konularda da kaos teorisi sayesinde kısa dönemli tahminler daha net yapılabilmektedir. Görüldüğü üzere kaos teorisinin uygulamaları ve faydaları saymakla bitecek gibi değildir.
Kaynakça
Williams G.P. (1997). Chaos Theory Tamed. Joseph Henry Press.
https://books.google.com.tr/books/about/Chaos_Theory_Tamed.html?id=bac2I068zWgC&redir_esc=y
Lorenz E.P. (1993). The Essence of Chaos. University of Washington Press.
https://www.stsci.edu/~lbradley/seminar/index.html
Kamimoto S. et al. (2023). The chaotic milling behaviors of interacting swarms after collision. Chaos 33, 081106.
https://doi.org/10.1063/5.0159522
Biswas H.R. et al. (2018). Chaos theory and its applications in our real life. Barishal University Journal Part 1, 5(1&2): 123-140.
https://bu.ac.bd/?ref=BUJ1V5I12
Görsel Kaynakça
Şekil 2.2 & Şekil 2.1
António Miguel de Campos, rescaled by Lulu of the Lotus-Eaters https://en.wikipedia.org/wiki/Lorenz_system
Şekil 2.3
https://pixabay.com/illustrations/sierpinski-triangle-chaos-fractal-427158/